Дифференциальное уравнение Бесселя
Линейное обыкновенное дифференциальное уравнение второго порядка вида
Дифференциальное уравнение Бесселя
называется уравнением Бесселя. Число v называется порядком уравнения Бесселя.

Данное дифференциальное уравнение было названо в честь немецкого математика и астронома Фридриха Вильгельма Бесселя, который подробно исследовал его и показал (в 1824 году), что решения уравнения выражаются через специальный класс функций, получивших название цилиндрических функций или функций Бесселя.

Конкретное представление общего решения зависит от числа v. Далее мы отдельно рассмотрим два случая:
  • Порядок v является нецелым числом;
  • Порядок v является целым числом.
Случай 1. Порядок v является нецелым числом
Полагая, что число v является нецелым и положительным, общее решение уравнения Бесселя можно записать в виде
Общее решение уравнения Бесселя нецелого порядка
где C1, C2 − произвольные постоянные, а Jv(x), J−v(x)функции Бесселя первого рода.

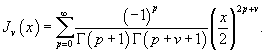
Функцию Бесселя первого рода можно представить в виде ряда, члены которого выражаются через так называемую гамма-функцию:
Решение уравнения Бесселя в виде ряда
Гамма-функция является расширением факториальной функции с множества целых на множество действительных чисел. В частности, она обладает следующими свойствами:
свойства гамма-функции
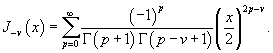
Аналогичным образом записываются функции Бесселя первого рода отрицательного порядка (с индексом −v). Здесь мы предполагаем, что v > 0.
Решение уравнения Бесселя в виде ряда в случае отрицательного нецелого порядка
Функции Бесселя вычисляются в большинстве математических пакетов. Для примера вид функций Бесселя первого рода порядка от v = 0 до v = 4 показан на рисунке 1. Эти функции можно вычислить также и в MS Excel.
Функции Бесселя первого рода порядка 0-4
Функции Бесселя второго рода порядка 0-4
Рис.1
Рис.2
Случай 2. Порядок v является целым
Если порядок v дифференциального уравнения Бесселя является целым, то функции Бесселя первого рода Jv(x) и J−v(x) становятся зависимыми друг от друга. В этом случае общее решение уравнения будет описываться другой формулой:
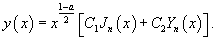
Общее решение уравнения Бесселя для любого действительного порядка
где Yv(x)функция Бесселя второго рода. Иногда это семейство функций называют также функциями Неймана или функциями Вебера.

Функцию Бесселя второго рода Yv(x) можно выразить через функции Бесселя первого рода Jv(x) и J−v(x):
Представление функций Бесселя второго рода через функции Бесселя первого рода
Графики функций Yv(x) для нескольких первых порядков v представлены выше на рисунке 2.

Примечание: В действительности общее решение дифференциального уравнения Бесселя можно выразить через функции Бесселя первого и второго рода также и для случая нецелого порядка v.
Некоторые дифференциальные уравнения, приводимые к уравнению Бесселя
1. Еще одним хорошо известным уравнением данного класса является модифицированное уравнение Бесселя, которое получается из регулярного уравнения Бесселя заменой x на −ix. Это уравнение имеет вид:
Модифицированное уравнение Бесселя
Решение данного уравнения выражается через так называемые модифицированые функции Бесселя первого и второго рода:
Решение модифицированного уравнения Бесселя
где Iv(x) и Kv(x) обозначают модифицированные функции Бесселя, соответственно, первого и второго рода.

2. Дифференциальное уравнение Эйри, известное в астрономии и физике, записывается в виде:
Дифференциальное уравнение Эйри
Его также можно свести к уравнению Бесселя. Решение уравнения Эйри выражается через функции Бесселя дробного порядка :
Решение дифференциального уравнения Эйри

3. Дифференциальное уравнение вида
отличается от уравнения Бесселя лишь множителем a2 перед x2 и имеет общее решение в следующем виде:

4. Похожее дифференциальное уравнение
также сводится к уравнению Бесселя
с помощью подстановки
Здесь параметр n2 обозначает
В результате, общее решение данного дифференциального уравнения определяется формулой

Специальные функции Бесселя широко используются в решении задач математической физики, например, при исследовании
  • распространения волн;
  • теплопроводности;
  • колебаний мембран
в случаях, когда объекты имеют цилиндрическую или сферическую симметрию.

   Пример 1
Решить дифференциальное уравнение  x2y'' + xy' + (3x2 − 2)y = 0.

Решение.
Данное уравнение имеет порядок √2 и отличается от стандартного уравнения Бесселя лишь множителем 3 перед x2. Поэтому общее решение уравнения описывается формулой
     
где C1, C2 − постоянные, а J2(√3x) и Y2(√3x) − функции Бесселя, соответственно, 1 и 2 рода.

   Пример 2
Решить уравнение .

Решение.
Это уравнение отличается от модифицированного уравнения Бесселя множителем 4 перед x2. Порядок уравнения равен v = 1/√2. Общее решение выражается через модифицированные функции Бесселя следующим образом:
     
где C1 и C2 − произвольные постоянные.

   Пример 3
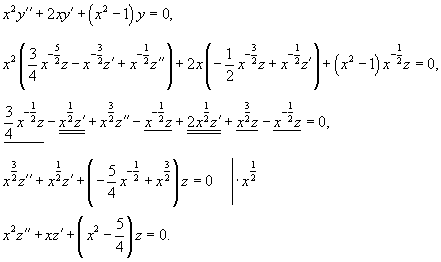
Найти общее решение дифференциального уравнения  x2y'' + 2xy' + (x2 − 1)y = 0.

Решение.
Применим следующую подстановку:
     
Подставим эти выражения в исходное уравнение:
     
Видно, что
     
Таким образом, общее решение для функции z(x) можно записать в виде
     
Тогда общее решение для исходной функции y(x) определяется выражением
     
где C1 и C2 − произвольные постоянные.