При исследовании стационарных процессов (не зависящих от времени) различной физической природы (колебания, теплопроводность, диффузия и др.) обычно приходят к уравнениям эллиптического типа. Наиболее распространенным уравнением этого типа является уравнение Лапласа: .

Определение:  Функция u называется гармонической в области Ω, если она непрерывна в этой области вместе со своими производными до 2-го порядка и удовлетворяет уравнению Лапласа.

Рассмотрим стационарное тепловое поле. Известно, что температура нестационарного теплового поля удовлетворяет дифференциальному уравнению теплопроводности

ut = a2

, где .

Если процесс стационарен, то устанавливается распределение температуры u(x, y, z), не меняющейся с течением времени и, следовательно,удовлетворяющее уравнению Лапласа . При наличии источников тепла получаем уравнение

, ,

где F - плотность тепловых источников, а k - коэффициент теплопроводности. Неоднородное уравнение Лапласа часто называют уравнением Пуассона.

Рассмотрим некоторый объем Ω, ограниченный поверхностью . Задача о стационарном распределении температуры u(x, y, z) внутри тела Ω формулируется следующим образом: найти функцию u(x, y, z) , удовлетворяющую внутри Ω уравнению и граничному условию, которое может быть взято в одном из следующих видов:

  1. u = f1 на (первая краевая задача),
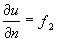
  2. на (вторая краевая задача),
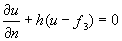
  3. на (третья краевая задача),

где f 1 , f 2 , f 3 , h - заданные функции, - производная по внешней нормали к поверхности .

Физический смысл этих граничных условий очевиден. Первую краевую задачу часто называют задачей Дирихле, вторую задачу - задачей Неймана, а третью задачу - задачей Робена или смешанной задачей.