Фу́нкции параболи́ческого цили́ндра (функции Вебера) — общее название для специальных функций, являющихся решениями дифференциальных уравнений, получающихся при применении метода разделения переменных для уравнений математической физики, таких как уравнение Лапласа, уравнение Пуассона, уравнение Гельмгольца и др. в системе координат параболического цилиндра.
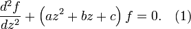
В общем случае функции параболического цилиндра — решения следующего уравнения
При выполнении линейной замены переменной в этом уравнении, получается уравнение:
решения которого называются функциями Вебера и обозначаются 
Функции
являются решениями уравнения Вебера, причём при нецелом
функции
линейно независимы. Для всех
функции
также линейно независимы.
На практике часто пользуются и другими функциями параболического цилиндра — функциями Эрмита, являющихся решениями уравнения Эрмита, которое получается из
заменой 
Функции Эрмита обозначаются
Общее решение уравнения 
где
— вырожденная гипергеометрическая функция.
При целом неотрицательном
функция Эрмита совпадает с полиномом Эрмита. При целом отрицательном
функция Эрмита выражается в замкнутом виде через функцию ошибок.
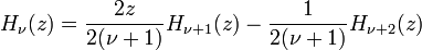
Рекуррентные соотношения и формулы дифференцированияПравить
Интегральные представленияПравить
Асимптотическое поведениеПравить
ЛитератураПравить
- Уиттекер, Ватсон. Курс современного анализа, 1963, том 2
- Бейтмен, Эрдейи Высшие трансцендентные функции, том 2
- H.F. Weber, "Über die Integration der partiellen Differentialgleichung
" Math. Ann. , 1 (1869) pp. 1–36
См. такжеПравить
СсылкиПравить
- Milton Abramowitz and Irene A. Stegun, eds., Handbook of Mathematical Functions with Formulas, Graphs, and Mathematical Tables 1972, Dover: New York. chapter 19.
- Weisstein, Eric W. Parabolic Cylinder Function. From MathWorld--A Wolfram Web Resource.
- Weisstein, Eric W. Parabolic Cylinder Differential Equation. From MathWorld--A Wolfram Web Resource.
| Это заготовка статьи по математике. Вы можете помочь проекту, дополнив её. |















![\frac{d}{dz}\Bigl[e^{-z^2}~H_\nu (z)\Bigr]=-e^{-z^2} H_{\nu+1}(z)](20_files/c9981220aeb994ed7a2a061f261c3012.png)