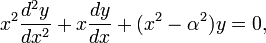
Функции Бесселя в математике — семейство функций, являющихся каноническими решениями дифференциального уравнения Бесселя:
где
— произвольное комплексное число, называемое порядком.
Наиболее часто используемые функции Бесселя — функции целых и полуцелых порядков.
Хотя
и
порождают одинаковые уравнения для вещественных
,
обычно договариваются о том, чтобы им соответствовали разные функции
(это делается, например, для того, чтобы функция Бесселя была гладкой по
).
Функции Бесселя впервые были определены швейцарским математиком Даниилом Бернулли, а названы в честь Фридриха Бесселя.
ПримененияПравить
Уравнение Бесселя возникает во время нахождения решений уравнения Лапласа и уравнения Гельмгольца в цилиндрических и сферических координатах. Поэтому функции Бесселя применяются при решении многих задач о распространении волн, статических потенциалах и т. п., например:
- электромагнитные волны в цилиндрическом волноводе;
- теплопроводность в цилиндрических объектах;
- формы колебания тонкой круглой мембраны
- распределение интенсивности света, дифрагированного на круглом отверстии.
- скорость частиц в цилиндре, заполненном жидкостью и вращающемся вокруг своей оси.
- волновые функции в сферически симметричном потенциальном ящике.
Функции Бесселя применяются и в решении других задач, например, при обработке сигналов.
ОпределенияПравить
Поскольку приведённое уравнение является линейным дифференциальным уравнением второго порядка, у него должно быть два линейно независимых решения. Однако в зависимости от обстоятельств выбираются разные определения этих решений. Ниже приведены некоторые из них.
Функции Бесселя первого родаПравить
Функциями Бесселя первого рода, обозначаемыми
, являются решения, конечные в точке
при целых или неотрицательных
. Выбор конкретной функции и её нормализации определяются её свойствами. Можно определить эти функции с помощью разложения в ряд Тейлора около нуля (или в более общий степенной ряд при нецелых
):
Здесь
— это гамма-функция Эйлера, обобщение факториала на нецелые значения. График функции Бесселя похож на синусоиду, колебания которой затухают пропорционально
, хотя на самом деле нули функции расположены не периодично.
Ниже приведены графики
для
:
Если
не является целым числом, функции
и
линейно независимы и, следовательно, являются решениями уравнения. Но если
целое, то верно следующее соотношение:
Оно означает, что в этом случае функции линейно зависимы. Тогда вторым решением уравнения станет функция Бесселя второго рода (см. ниже).
Интегралы БесселяПравить
Можно дать другое определение функции Бесселя для целых значений
, используя интегральное представление:
Этот подход использовал Бессель, изучив с его помощью некоторые свойства функций. Возможно и другое интегральное представление:
Функции Бесселя полуцелого порядкаПравить
Хотя в общем случае функции Бесселя не выражаются через элементарные функции, в частном случае полуцелого порядка это возможно:
Остальные порядки могут быть получены с помощью рекуррентного соотношения:
Функции Неймана (Функции Бесселя второго рода)Править
Функции Неймана — решения
уравнения Бесселя, бесконечные в точке
.
Эта функция связана с
следующим соотношением:
где в случае целого
берётся предел по
, вычисляемый, например, с помощью правила Лопиталя.
Функции Неймана также называются функциями Бесселя второго рода. Линейная комбинация функций Бесселя первого и второго родов являет собой полное решение уравнения Бесселя:
Ниже приведён график
для
:
СвойстваПравить
АсимптотикаПравить
Для функций Бесселя первого и второго рода известны асимптотические формулы. При малых аргументах
и неотрицательных
они выглядят так:[1]
,
где
— постоянная Эйлера — Маскерони (0.5772…), а
— гамма-функция Эйлера. Для больших аргументов (
) формулы выглядят так:
Гипергеометрический рядПравить
Функции Бесселя могут быть выражены через гипергеометрическую функцию:
Таким образом, при целых
функция Бесселя однозначная аналитическая, а при нецелых — многозначная аналитическая.
Производящая функцияПравить
Существует представление для функций Бесселя первого рода и целого порядка через коэффициенты ряда Лорана функции определённого вида, а именно
СоотношенияПравить
Формула Якоби — Ангера и связанные с нейПравить
Получается выражения для производящей при
,
:[2]
При
,
:[2]
Теорема сложенияПравить
Для любого целого n и комплексных
,
выполняется[3]
Интегральные выраженияПравить
Для любых
и
(в том числе комплексных) выполняется[3]
Частным случаем последней формулы является выражение
См. такжеПравить
ПримечанияПравить
- ↑ Arfken, George B. and Hans J. Weber Mathematical Methods for Physicists. — 6th edition. — San Diego: Harcourt, 2005. — ISBN 0-12-059876-0.
- ↑ 1 2 Бейтмен, Эрдейи, 1974, с. 15
- ↑ 1 2 Лаврентьев, Шабат, 1974, с. 15
ЛитератураПравить
- Бесселевы функции // Энциклопедический словарь Брокгауза и Ефрона: В 86 томах (82 т. и 4 доп.). — СПб., 1890—1907.
- Ватсон Г. Теория бесселевых функций. — М.: ИЛ, 1949. — Т. 1, 2.
- Бейтмен Г., Эрдейи А. Функции Бесселя, функции параболического цилиндра, ортогональные многочлены // Высшие трансцендентные функции = Higher Transcendental Functions / Пер. с англ. Н. Я. Виленкина. — 2-е. — м.: Наука, 1974. — Т. 2. — 296 с.
- Лаврентьев М. А., Шабат Б. В. Методы теории функций комплексного переменного. — 4-е.





















