| Многочлены Лежандра | |
| Общая информация | |
|---|---|
| Формула |
|
| Скалярное произведение |
|
| Область определения |
|
| Дополнительные характеристики | |
| Дифференциальное уравнение |
|
| Норма |
|
| Названы в честь | |
Многочлен Лежа́ндра — многочлен, который в наименьшей степени отклоняется от нуля в смысле среднего квадратического. Образует ортогональную систему многочленов на отрезке
по мере Лебега. Многочлены Лежандра могут быть получены из многочленов
ортогонализацией Грама ― Шмидта.
Названы по имени французского математика Адриен Мари Лежандра.
ОпределениеПравить
Полиномы Лежандра и присоединённые функции Лежандра первого и второго родаПравить
Рассмотрим дифференциальное уравнение вида
![]() |
(УравнПолЛеж) |
где
— комплексная переменная. Решения этого уравнения при целых
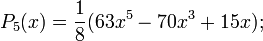
имеют вид многочленов, называемых многочленами Лежандра. Полином Лежандра степени
можно представить через формулу Родрига в виде[1]
Часто вместо
записывают косинус полярного угла:
Уравнение (УравнПолЛеж) можно получить из частного случая гипергеометрического уравнения, называемого уравнением Лежандра
![]() |
(УравнЛеж) |
где
,
— произвольные комплексные постоянные. Интерес представляют его решения, являющиеся однозначными и регулярными при
(в частности, при действительных
) или когда действительная часть числа
больше единицы. Его решения называют присоединёнными функциями Лежандра или шаровыми функциями. Подстановка вида
в (УравнЛеж) даёт уравнение Гаусса, решение которого в области
принимает вид
где F — гипергеометрическая функция. Подстановка
в (УравнЛеж) приводит к решению вида
определённым на
. Функции
и
называют функциями Лежандра первого и второго рода.[2]
Справедливы соотношения[3]
и
Выражение через суммыПравить
- Многочлены Лежандра также определяются по следующим формулам:


, если
;
, если
.
Рекуррентная формулаПравить
- Они также могут быть вычислены по рекуррентной формуле (при n>1)[4]:
![]() |
(РекуррЛеж) |
,
.
Производная полинома ЛежандраПравить
- Вычисляется по формуле[5]:
![]() |
(ПроизвЛеж) |
Корни полинома ЛежандраПравить
- Вычисляются итеративно по методу Ньютона[5]:
,- причем, начальное приближение для i-го корня (i = 1, 2, …, n) берется по формуле[5]
![x_i^{(0)} = cos[\pi (4i-1)/(4n+2)].](24_files/592348acf5f2ca6d00e5f5c25cd0ec75.png)
Значение полинома можно вычислять используя рекуррентную фомулу для конкретного значения x. Производную также можно вычислять для конкретного значения x, используя формулу для производной.
Формулы с разложениямиПравить
- Многочлены Лежандра также определяются следующими разложениями:
для
±
:
и для
±
:
Следовательно, ![P_n(x)=\frac{(2n)!}{2^n(n!)^2} [x^n-\frac{n(n-1)}{2(2n-1)}x^{n-2}+\frac{n(n-1)(n-2)(n-3)}{2\cdot4(2n-1)(2n-3)}x^{n-4}-...].](24_files/f0fbb63916ddb1fe2923cf6869b4599b.png)
Присоединённые многочлены ЛежандраПравить
- Присоединённые многочлены Лежандра определяются по формуле:
которую также можно представить в виде:
При
функция
совпадает с
.
Сдвинутые многочлены ЛежандраПравить
Сдвинутые многочлены Лежандра определяются как
, где сдвигающая функция
(это аффинное преобразование) - выбрана так чтобы однозначно отображать интервал ортогональности многочленов
на интервал
в котором уже ортогональны сдвинутые многочлены
:
Явное выражение для смещённых многочленов Лежандра задаётся как:
Аналогом формулы Родрига для смещенных многочленов Лежандра является:
Выражения для некоторых первых сдвинутых многочленов Лежандра:
| n | ![]() |
| 0 | ![]() |
| 1 | ![]() |
| 2 | ![]() |
| 3 | ![]() |
| 4 | ![]() |
Матрица функции многочлена ЛежандраПравить
Эта матрица является верхнетреугольной. Её определитель равен нулю, а собственные значения равны
, где
.
ПримерыПравить
СвойстваПравить
- Если
, то 
- Для
, степень
равна n. - Сумма коэффициентов многочлена Лежандра
равна 1. - Уравнение
имеет ровно
различных корней на отрезке ![[-1,\;1].](24_files/b943e6dc7272c86092cd2f37e773ecac.png)
- Пусть
. Тогда:
- Присоединённые многочлены Лежандра являются решениями дифференциального уравнения
![\frac{d}{dx}\left[(1-x^2)\frac{d}{dx}P_n(x)\right]-\frac{m^2}{(1-x^2)}P_n(x)+n(n+1)P_n(x)=0.](24_files/badb70bd24d235ba3ee60117195a8707.png)
- При
уравнение принимает вид 
- Производящая функция для многочленов Лежандра равна:
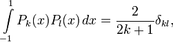
- Условие ортогональности этих полиномов на отрезке
:
где
— символ Кронекера.
- Для
, норма
равна:
- Нормированная функция многочленов Лежандра связана с нормой
следующим соотношением:
- При каждом
система присоединённых функций Лежандра
полна в
. - В зависимости от
и
присоединённые многочлены Лежандра могут быть как чётными, так и нечётными функциями:
— четная функция;
— нечетная функция.


, поскольку
, а
.- Для
,
. ![\forall x\in[-1,\;1],\;\forall n\in\N^*,\;|P_n(x)|\leqslant\sqrt{\frac{2}{\pi n(1-x^2)}}.](24_files/949f42eac65742fc505678f50ca355cb.png)
Ряды многочленов ЛежандраПравить
Разложение липшицевой функции в ряд многочленов ЛежандраПравить
Липшицевая функция
является функцией со свойством:
, где
.
Эта функция разлагается в ряд многочленов Лежандра.
Пусть
— пространство непрерывных отображений на отрезке
,
и
.
Пусть
тогда
удовлетворяет следующему условию:
Пусть
и
удовлетворяет следующим условиям:
, где 

![\forall x\in[-1,1],\;\lim_{n\to\infty}S_nf(x)=f(x).](24_files/21e5f5608b7e0edf216801bf7f3bdb79.png)
Липшецевую функцию
можно записать следующим образом:

Разложение голоморфной функцииПравить
Всякая функция f, голоморфная внутри эллипса с фокусами −1 и +1, может быть представлена в виде ряда:

Теорема сложенияПравить
Для величин, удовлетворяющих условиям
,
,
,
— действительное число, можно записать теорему сложения для полиномов Лежандра первого рода:[6]
или, в альтернативной форме через гамма-функцию:
Для полиномов Лежандра второго рода теорема сложения выглядит как[7]
при условиях
,
,
, 
Функции ЛежандраПравить
Многочлены Лежандра (вместе с присоединёнными функциями Лежандра
) естественно возникают в теории потенциала.
Шаровые функции — это функции (в сферических координатах
) вида (с точностью до константы)
и 
где
— присоединённые многочлены Лежандра;
а точнее вида
, где
— сферические функции.
Шаровые функции удовлетворяют уравнению Лапласа всюду в
.
ПримечанияПравить
- ↑ Градштейн, Рыжик, 1963, с. 1039
- ↑ Бейтмен, Эрдейи, Т. 1, 1973, с. 126—127
- ↑ Бейтмен, Эрдейи, Т. 1, 1973, с. 140
- ↑ Цимринг, 1988, с. 196
- ↑ 1 2 3 Цимринг, 1988, с. 197
- ↑ Градштейн, Рыжик, 1963, с. 1027
- ↑ Градштейн, Рыжик, 1963, с. 1028
ЛитератураПравить
- Бейтмен Г., Эрдейи А. Высшие трансцендентные функции = Higher Transcendental Functions / Пер. Н. Я. Виленкина. — Изд. 2-е,. — М.: Наука, 1973. — Т. 1. — 296 с. — 14 000 экз.
- Владимиров В. С., Жаринов В. В. Уравнения математической физики. — М.: Физматлит, 2004. — ISBN 5-9221-0310-5.
- Градштейн И. С., Рыжик И. М. Таблицы интегралов, сумм, рядов и произведений. — Изд. 4-е, перераб. — М.: Государственное издательство физико-математической литературы, 1963. — 19 000 экз.
- Кампе де Ферье Ж., Кемпбелл Р., Петьо Г., Фогель Т. Функции математической физики. — М.: Физматлит, 1963.
- Никольский С. М. Квадратурные формулы. — М.: Наука, 1988.
- Цимринг Ш.Е. Специальные функции и определенные интегралы. Алгоритмы. Программы для микрокалькуляторов: Справочник. — М.: Радио и связь, 1988.
| Ортогональные многочлены | |
|---|---|
| Многочлены Бернштейна — Сеге • Многочлены Бесселя • Многочлены Гегенбауэра • Многочлены Гейне — Ахиезера • Многочлены Кравчука • Многочлены Лагерра • Многочлены Лежандра • Многочлены Полачека • Многочлены Чебышёва • Многочлены Шарле • Многочлены Эрмита • Многочлены Якоби |






![(1-z^2) \frac{\mathrm d^2u}{\mathrm dz^2}-2z\frac{\mathrm du}{\mathrm dz} + \left[ \nu(\nu+1) - \frac{\mu^2}{1-z^2}\right]u = 0,](24_files/ee3ba096023109b4427d53ffb7b5f468.png)





![P'_{n}(x)=\frac{n}{1-x^2} [P_{n-1}(x)-xP_n(x)].](24_files/5571ca96d6472e6e7a1ce091d0705ad3.png)






![\tilde{P_n}(x) = \frac{1}{n!} {d^n \over dx^n } \left[ (x^2 -x)^n \right].\,](24_files/11e6dcc3907748fbb11f4e34bcc636a0.png)


















, то










