14. Ядро 27Si в результате β+-распада 27Si → 27Al + e+ + νe переходит в "зеркальное" ядро 27Al. Максимальная энергия позитронов 3.48 МэВ. Оценить радиус этих ядер.

Для равномерно заряженной сферы кулоновская энергия равна:    

Разность энергий связи двух зеркальных ядер

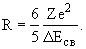
где R - радиус ядра, e - заряд электрона и Z - атомный номер, в данном случае ядра 27Al, откуда

Максимальная энергия спектра позитронов при β+-распаде

= Eсв(Z) – Eсв(Z+1) + (mp – mn – me) = ΔEсв + (938.27 – 939.57 – 0.51) = ΔEсв – 1.80 МэВ.

Тогда для радиуса ядра можно записать следующее соотношение

На головную страницу

Рейтинг@Mail.ru